您所在的位置:柳橙网>成功案例>案例列表>案例详情

专家点评

澳八大之一的Queensland大学,享誉国际,世界排名63,大部分专业领先国际水平,绝对带给你非凡的体验。

澳大利亚昆士兰大学成功案例

学 生:
游同学
目标学历:
研究生
申请国家:
申请学校:
申请专业:
Master of Tourism, Hotel and Event Management (Advanced)
当前学历:
本科
毕业院校:
武汉大学
当前专业:
遥感科学与技术
GPA:
2.93
工作经验:
申请启动日期:
2014-08-20
获得Offer日期:
2014-11-13

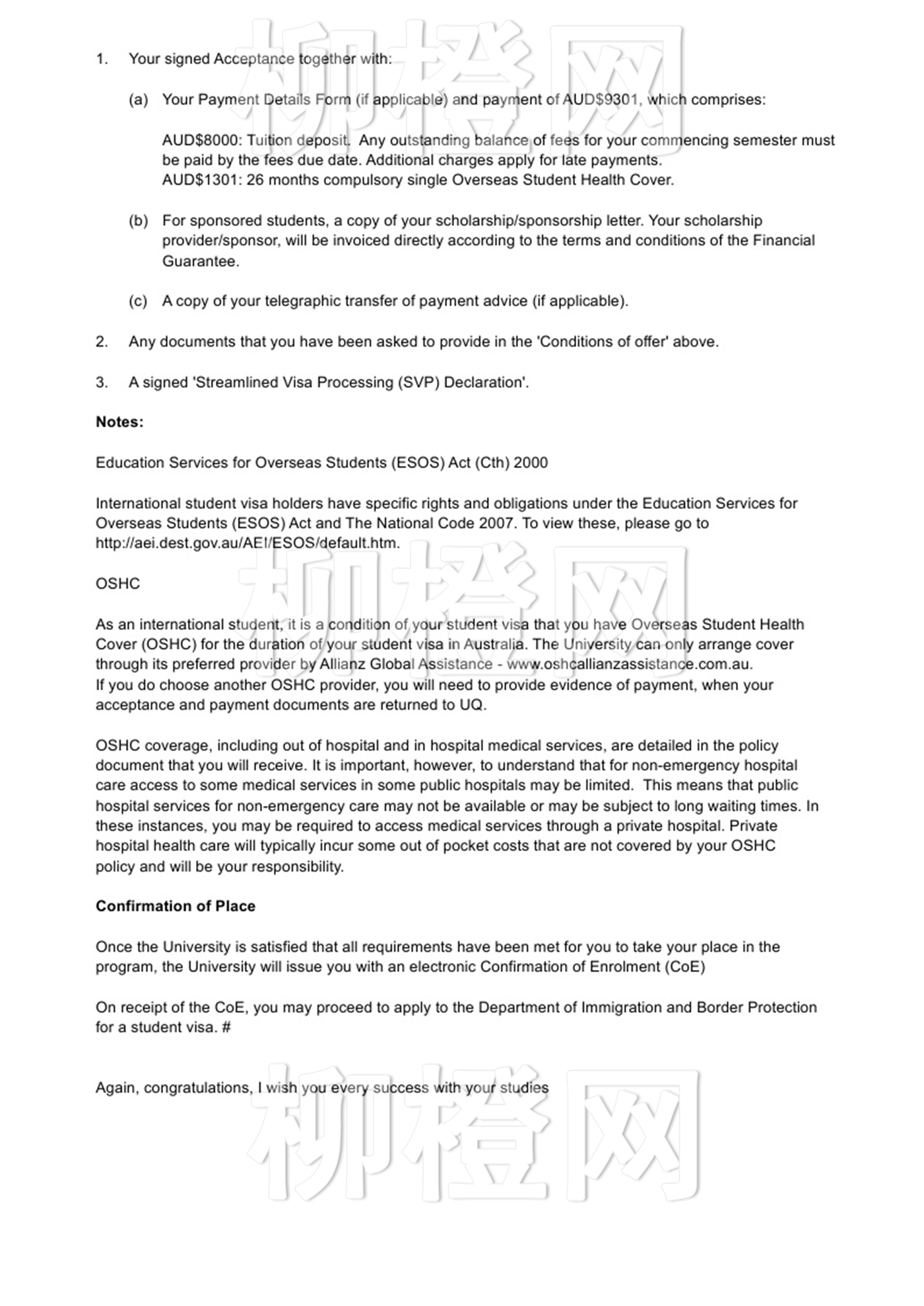
offer展示

扫一扫;关注柳橙

扫一扫;关注柳橙

扫一扫;关注柳橙

扫一扫
关注柳橙

关于柳橙| 联系我们| 法律声明| 加入我们| 网站地图| 友情链接

Copyright ©2011-2024 柳橙网 版权所有

自费出国留学中介服务机构资格认定

柳橙网为上海留成网信息技术股份有限公司(原上海骏文投资咨询有限公司)所有

沪公网安备 31011502002531号

沪ICP备11045181号-4

柳橙网服务热线:

4008-900-916
4008-109-912

服务邮箱:cs@www.lemaiyaofang.com

总裁投诉邮箱:tousu@www.lemaiyaofang.com

在线咨询
免费评估
电话咨询
关注微信
返回顶部