您所在的位置:柳橙网>成功案例>案例列表>案例详情

专家点评

又是一位申请澳洲会计专业的同学,昆士兰大学的教育背景加澳洲的移民政策,成了澳洲留学的新风向标

澳大利亚昆士兰大学成功案例

学 生:
雷同学
目标学历:
研究生
申请国家:
申请学校:
申请专业:
Master of professional Accounting
当前学历:
本科
毕业院校:
澳门科技大学
当前专业:
会计
GPA:
2.87
工作经验:
申请启动日期:
2014-09-01
获得Offer日期:
2014-09-30

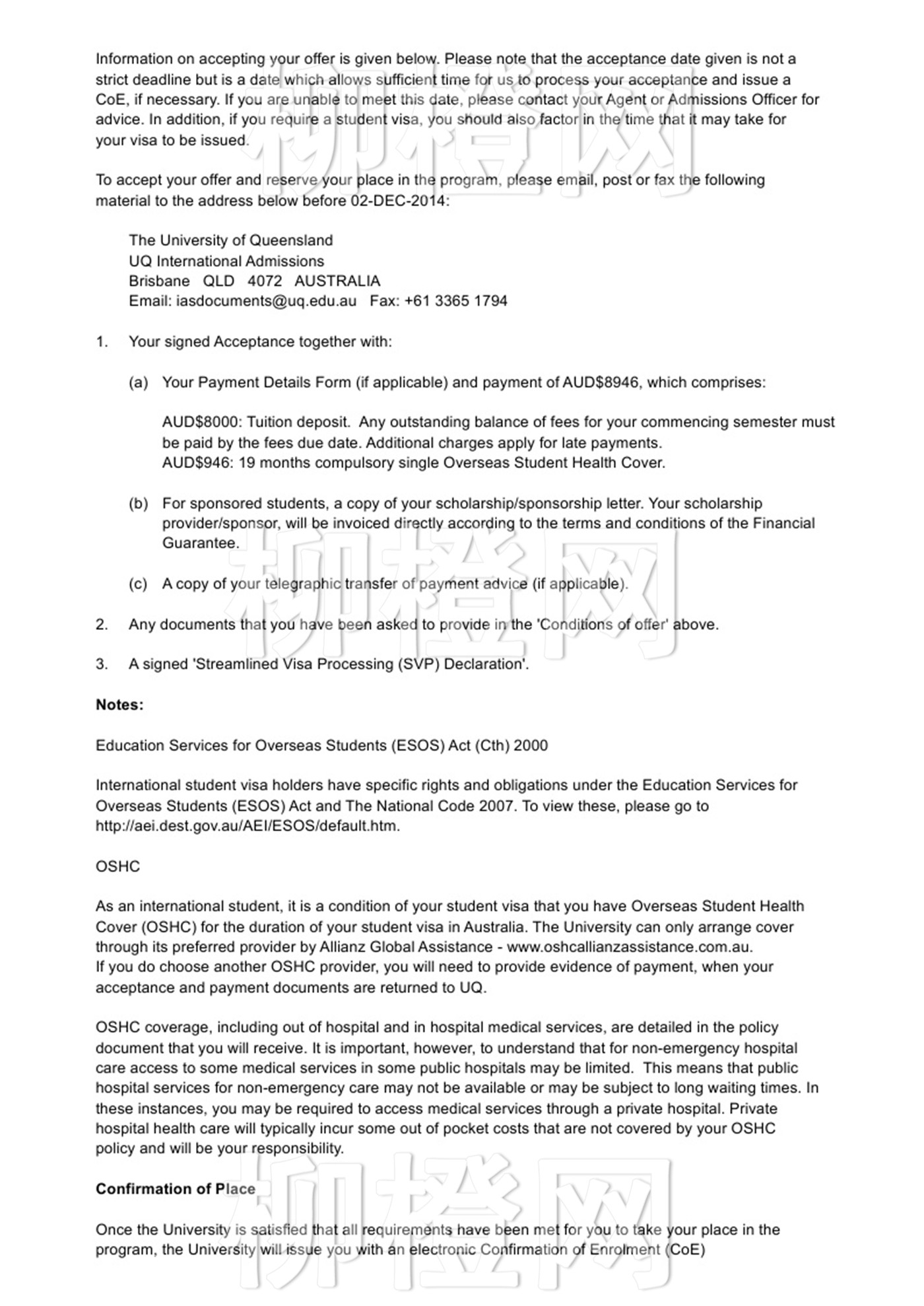
offer展示

扫一扫;关注柳橙

扫一扫;关注柳橙

扫一扫;关注柳橙

扫一扫
关注柳橙

关于柳橙| 联系我们| 法律声明| 加入我们| 网站地图| 友情链接

Copyright ©2011-2024 柳橙网 版权所有

自费出国留学中介服务机构资格认定

柳橙网为上海留成网信息技术股份有限公司(原上海骏文投资咨询有限公司)所有

沪公网安备 31011502002531号

沪ICP备11045181号-4

柳橙网服务热线:

4008-900-916
4008-109-912

服务邮箱:cs@www.lemaiyaofang.com

总裁投诉邮箱:tousu@www.lemaiyaofang.com

在线咨询
免费评估
电话咨询
关注微信
返回顶部